
DOI: https://doi.org/10.46502/issn.1856-7576/2024.18.04.1
Eduweb, 2024, octubre-diciembre, v.18, n.4. ISSN: 1856-7576
Cómo citar:
Sandoval-Ruiz, C. (2024). RSE Laboratorio de modelado de sistemas físicos con ciencia aplicada. Revista Eduweb, 18(4), 9-25. https://doi.org/10.46502/issn.1856-7576/2024.18.04.1
CSR laboratory code of social-environment responsibility for the optimization of physical systems with applied science
C. Sandoval-Ruiz
https://orcid.org/0000-0001-5980-292X
Facultad de Ingeniería, Universidad de Carabobo, Investigadora, Venezuela.
Recibido: 03/06/24
Aceptado: 24/10/24
Resumen
Se plantea el diseño de un laboratorio de servicio itinerante para el desarrollo del concepto de promoción de la investigación científica sobre criterios de responsabilidad social y ecológica - RSE. La metodología consiste en un conjunto de ensayos de ciencia con propósito para generar la propuesta de una plataforma de investigación, basado en estaciones para el estudio de principios físicos, herramientas de monitoreo y entrenamiento de modelos en línea, a fin de facilitar el estudio de casos de forma remota. Entre los hallazgos se encuentra la correlación de ciencias aplicadas para rehabilitación de mascotas, optimización de sistemas de energías renovables, turismo científico, rehabilitación de condiciones ambientales en modelos de glaciación, reciclaje inteligente de componentes electrónicos en nuevas tecnologías, valorización cultural en la enseñanza de la física, modelado matemático remoto y educación en valores con ciencia. Lo que permite concluir que la propuesta puede ser presentada a empresas como modelo de tecnología circular y líneas de I+D+i, en el marco de programas de RSE.
Palabras clave: Gemelos digitales, Laboratorio itinerante, Principios físicos, Programa I+D, Responsabilidad Social-Ambiental.
Abstract
The design of a traveling service laboratory is proposed for the development of the concept of promoting scientific research on criteria of social and ecological responsibility - CSR. The methodology consists of developing science trials with a purpose to generate the proposal of a research platform, a set of stations for the study of physical principles, monitoring tools and training of online models, in order to facilitate the study of the units remote form. Among the findings is the correlation of applied sciences for pet rehabilitation, optimization of renewable energy systems, scientific tourism, rehabilitation of environmental conditions in glaciation models, intelligent recycling of electronic components in new technologies, cultural valorization in the teaching of physics, remote mathematical modeling and values education with science. Which allows us to conclude that the proposal can be presented to companies as a model of circular technology and R&D&I lines, within the framework of CSR programs.
Keywords: Digital twins, Traveling laboratory, Physical principles, R&D Program, Social-Environmental Responsibility.
Introducción
Actualmente, los laboratorios de ciencias físicas, matemáticas y naturales pueden ser integrados para la construcción de teorías, conjeturas y postulados, a travé del modelado de sistemas complejos. El objetivo de la educación en ciencias es lograr incentivar la investigación científica y aprendizaje de nuevos conocimientos. En tal sentido, las carreras tecnológicas, aplicaciones sociales y estudios de factibilidad ambiental de proyectos son compatibles en un marco de integración de ciencias aplicadas. Es por ello, que se plantea una propuesta pedagógica fundamentada sobre tecnología TIC para ampliar el alcance de estos campos, sumados en iniciativas de I+D y programas de responsabilidad social y ambiental – RSE, promoviendo el interés por la ciencia desde etapas tempranas de la formación académica. Los proyectos están planteados como innovaciones de bajo costo, que pueden ser replicados para ofrecer soluciones de amplio impacto para el bienestar integral, implementados sobre laboratorios itinerantes.
Proyecto compensación: La creación de un campo magnético inducido para proteger a la biosfera y ecosistemas (glaciares) de las radiaciones solares selectivamente en zonas específicas, regulando las proporciones de ferrofluidos magnéticos en vórtices controlados (cometas de plasma confinada), para definir un campo regenerativo mediante la trayectoria del fluido magnético.
Ciencia con propósito. Los sistemas físicos pueden ser interpretados de acuerdo con el observador, la selección de variables físicas y el nivel de abstracción. La simplificación más eficiente corresponde a la generalización del modelo para su ajuste mediante parámetros, enfoques configurables (lente de formulación dinámica) y esto se logra con un método de construcción del pensamiento mediante el debate, análisis y síntesis, siendo las directrices de la pedagogía científica.
La observación, comprensión de principios físicos y fundamentos matemáticos, desarrollando un método, a partir de planteamientos que permitan reutilizar conocimientos. Desde la estimación del número de hojas de un árbol, mediante una progresión geométrica
, considerando la distribución de las hojas en las ramas como una composición fractal. Donde se deberá proponer una ecuación modeladora por fracción del problema y simplificar el cálculo mediante la concatenación de etapas (ramas). El principio será identificar una patrón básico, ajustar el modelo y extrapolar, finalmente realizar un ajuste generalizado.

Con el diseño de experimentos didácticos se busca incentivar el desarrollo de aplicaciones RSE en carreras STEM (ciencia, tecnología, ingeniería y matemática), a través de la construcción de modelos matemáticos y aplicación de gemelos digitales (con alta capacidad de cómputo sobre hardware paralelo), con el objetivo de acercar la ciencia a servicios ambientales, en los distintos campos de investigación. Esto se puede lograr diseñando el concepto de un laboratorio de responsabilidad socio ambiental, con estaciones básicas para la interpretación de principios físicos, que se concatenen para ofrecer soluciones a problemas complejos, a través de proyectos multietapas.
Este enfoque aporta una alternativa para hacer accesible la experimentación científica a las comunidades remotas, a través de laboratorios itinerantes que cuenten con estaciones teleoperadas, con aplicaciones funcionales como un módulo de rehabilitación para mascotas, que pueda ofrecer un servicio a los animales con desgaste articular, condiciones neurológicas y limitaciones visuales. De esta manera, se está educando en valores, con ciencia aplicada (modelado matemático y estudio de principios físicos en los mecanismos ortopédicos). En el mismo orden de ideas, definir la recuperación de energías renovables que se puedan recircular del entrenamiento, diseñar los mecanismos con componentes reciclados y aplicar tecnología de gemelos digitales para la experimentación biomimética, a fin de garantizar procedimiento no invasivos, cumpliendo con el criterio ético de bienestar integral. Hasta este punto, la propuesta pedagógica es diseñada por parte de los innovadores, pero la naturaleza itinerante del laboratorio permite sustentar una iniciativa dinámica, que se va adaptando a las condiciones locales, potencialidades y componentes culturales, es decir, aplicar técnicas como juegos tradicionales para la enseñanza de la física, levantamiento de mapas de potencial en recursos energéticos y propuestas desarrolladas por los participantes en una competencia colaborativa, dotando a la actividad de una postura activa por parte de los usuarios.
El diseño de los proyectos será particular al escenario de la región visitada, tendrá entre sus aspectos relevantes, la integración de tecnología interactiva, videos didácticos con experimentos remotos y guías de análisis sobre gemelos digitales, aplicando un conjunto de TICs que faciliten el cumplimiento de los objetivos prácticos. De esta forma, en las regiones se podrá establecer reciclaje eco-responsable aplicado a la ciencia, iniciativas de conservación de las calidad de vida de la fauna y optimización de los recursos energéticos, mediante cometas de monitoreo, redireccionamiento y optimización de los recursos como lentes de regeneración del potencial de energías renovables.
Tabla 1.
Estudio de Fenómenos con Potencial de reutilización de energía fotónica
Descripción del Fenómeno óptico - eléctrico |
Zonas de Fenómenos |
Relámpago del Catatumbo, Venezuela. El estudio de las características físicas del fenómeno meteorológico de descargas eléctricas formadas en la atmósfera, como un condensador natural, para la definición de técnicas de recuperación de energía a partir de luz emitida en las capas de la atmósfera, aprovechamiento indirecto de la energía producida en el fenómeno y diferencial de temperatura. |
|
Salar de Uyuni, Bolivia. Estudio del fenómeno óptico de efecto espejo, que permite caracterizar el Albedo que se presenta sobre superficies blancas, donde la luz solar incidente puede ser reflejada en un alto porcentaje, de manera que puede ser reutilizada en los paneles solares (arreglos bifaciales), para la captación de luz solar reflejada. Por lo que tiene un comportamiento sobre modelo de realimentación. |
|
Laguna de Manialtepec, México Se trata de la producción de luz de ciertos organismos mediante una transformación de energía química a luminosa y es observado en insectos y hongos, pero también en cuerpos de agua, generalmente en ecosistemas marinos. |
|
Halo Solar, pilares de luz y Difracción de luz Solar en Atacama, Chile Se debe a un fenómeno de refracción de la luz en los cristales de hielo que forman las nubes más altas. Estos fenómenos ópticos pueden ser estudiados para el aprovechamiento de la luz difusa en fotovoltaica. |
|
Auroras Australes en Ushuaia, Argentina Es un fenómeno en forma de luminiscencia que se presenta por ionización atmosférica, generalmente en zonas polares, aunque puede aparecer en otras zonas del mundo durante breves períodos. En el hemisferio sur es conocida como aurora austral y en el hemisferio norte como aurora boreal.
|
|
Tal como enseñar valores es la base de la educación, un modelador universal requiere contar con métodos de aproximación basados en criterios de sostenibilidad, estabilidad y eficiencia, priorizando entre estos principios.
Referentes teóricos
La propuesta comprende un laboratorio guiado de ensayos de física para el estudio de principios de conservación de energía (Sandoval-Ruiz, 2024), mediante mecanismo simples que estén accesibles para el estudiante, a fin de realizar la primera etapa de investigación en la deducción de modelos físicos, que serán aplicados de manera concatenada para la descripción de sistemas complejos, entre los tópicos seleccionados se presentan los principios de la Figura 1.

Figura 1. Juegos Tradicionales como identificador de patrones de estudio de principios físicos
El estudio de sistemas concatenados de ejes como el giroscipio que realiza una compensación mediante simetría de rotación, produciendo un momento angular girando respecto a un tercer eje, por suspensión cardán (permite mantener la orientación de un eje de rotación en el espacio, independientemente del movimiento del soporte). Así como sistemas fractales, momento angular cuántico (espín), la espintrónica, física de partículas en configuración de metamateriales. Un trompo girando sobre la órbita de otro trompo (vector momento angular orbital), se puede definir como un momento angular fractal, mediante la combinación de su momento angular orbital y su momento angular intrínseco o propio (Figura 2).

Figura 2. Concatenación de principios físicos en Sistemas Compuestos.
Se puede afirmar que la ecuación modeladora, es una expresión algebraica, que considera la descripción de patrones xyz superpuestos en el tiempo: Expresar un sistema físico, a partir de una secuencia de aportes de energía, como un polinomio (una suma finita de productos de variables (con exponentes enteros positivos) y coeficientes (constantes, que en el modelo extendido pueden ser variables en alguna dimensión de la composición fractal). El circuito LFSR se considera un generador de polinomios, donde la caracterización del sistema depende de los coeficientes y la configuración de la arquitectura del arreglo.
Un sistema físico multidimensional tendrá variables en el espacio, dinámico (variante en el tiempo), un ángulo de alineación respecto a la energía y una dimensión de información por entrelazamiento cuántico, los patrones que describen la trayectoria orbital, lo que permite el estudio de comportamiento (como antenas captadoras de energía) y la proyección de una superficie plana en forma de girasol sobre una geometría 3D. Por lo que se plantea la construcción de modelos fractales, basado en reconocimiento de patrón o la estructura del todo de forma continua, mediante iteraciones matemáticas.
Casos de Estudio. Análisis de Modelos Dinámicos, Osciladores acoplados y correspondencia
Se asume una consideración de partida: un muelle (matriz elastomérica) es un filtro de osciladores resonantes que interactúan entre sí, entonces se convierte en el elemento de amortiguación mecánico, recibe la información de fuerza aplicada, se filtran componentes útiles y se redirecciona de manera amortiguada, con efectos positivos regenerativos. ¿Pero en ese caso, se puede decir que está absorbiendo energía? La respuesta es sí, en caso de que no se esté disipando de alguna manera, el objetivo es reciclarla, esto recirculando la energía de los componentes filtrados.
Probabilidades, ordenamiento cuántico y entropía
Entendiendo la entropía bajo el principio de que “todo evoluciona a su configuración más probable”. Establecer un modelo probabilístico simétrico, ¿qué representa?, ¿se podrían definir estados reversibles?, es decir, que se pueda volver al estado original luego de un intercambio de energía. Entonces, las probabilidades según la entropía pueden compensarse para restablecer una condición, por la dinámica temporal, considerada más probable.
Un modelador LFSR permite establecer el modelo matemático como un código, es decir un generador de patrones, con las directrices de la secuencia, donde el arreglo móvil presenta órbitas sincronizadas para establecer una dinámica compatible. Los efectos residuales de energía, ruidos, perturbaciones como turbulencia o desprendimiento de vórtices, son detectados por el modelo en la etapa de decodificación. La correlación del LFSR, se genera una matriz de síndrome, donde se definen los elementos simétricos de compensación que sumados al patrón de salida logra anular el efecto ruido y filtrar los componentes residuales, para alcanzar el equilibrio dinámico del sistema, mediante la adición de armónicos con las características de pesos sinápticos y alineación de ángulo, en resonancia óptima fractal del sistema físico.
La energía inteligente es un concepto que se ha desarrollado sobre la base de un modelo matemático donde se calculan los coeficientes, a fin de establecer los aportes útiles de energía y reciclar los componentes de energía residual, a fin de mitigar los efectos sobre el ambiente, para proteger los ecosistemas del sistema de captación de energías renovables.
La investigación científica con consciencia es un equilibrio dinámico, entre la organización estructurada del conocimiento y la responsabilidad ambiental, con un espacio de innovación. Actualmente, existen algoritmos que realizan el modelado de sistemas, el rol del científico y observador es establecer los principios, valores y criterios de diseño, que serán determinantes en la selección de las variables, así como los términos de sesgo, que le dan identidad al modelo. En resumen, desaprender modelos y volver a interpretar con criterios sostenibles (Sandoval-Ruiz, 2020).
Proyectos de modelado de convertidores de energía inteligente (Tabla 2), la energía residual se reconvierte en energía útil, sin causar daño al entorno, es responsable y autoorganizada en un mecanismo de compensación fractal de efectos. Creando un circuito aislado, para la anulación de campos y su efecto sobre las condiciones circundantes. Analizar el filtrado de componentes y la energía transformada. Definir a los grupos en diferentes perspectivas para describir un modelo2, modificar la alineación y promover la formulación de conclusiones.
Tabla 2.
Propuesta tecnológica de energías renovables basados en potencial local
Proyecto |
Descripción del Proyecto |
Optimización de Parques de aerogeneradores, a través de lentes eólicos implementados por tecnología Soft-Kite |
En respuesta a la necesidad de optimización del rendimiento y la implementación de criterios de responsabilidad ambiental en los parques eólicos, para mitigar el efecto de las turbinas eólicas sobre el patrón de flujo, se propone formular un modelo neuronal con los datos fluidodinámicos de la planta, representado por coeficientes de optimización sobre ecuaciones matemáticas parametrizables, para el soporte de adaptación del hardware, para un arreglo adaptativo de captadores de energía eólica, que permita establecer una relación entre la energía incidente (considerando la energía reflejada por otros elementos del arreglo), energía captada, recirculación de energía residual y compensación, en un mecanismo regenerativo (lentes eólicos implementados a través de cometas) a la salida del arreglo, optimizando la eficiencia, a partir de los componentes instalados. |
Plantas fotovoltaicas a con técnicas de geometría proyectiva |
Desarrollo de un laboratorio móvil de diagnóstico y mantenimiento predictivo para plantas fotovoltaicas (Sandoval-Ruiz, 2024), aplicando elementos de inspección por geometría proyectiva, a fin de configurar la altura del proyector y establecer un arreglo dinámico de concentradores solares para redireccionamiento centralizado de luz solar, minimizando el número de componentes del sistema de seguimiento MPPT, con el objetivo de cubrir una superficie extendida del parque fotovoltaico, de forma eficiente. Esto mediante la combinación del modelo matemático, la formulación de filtros adaptativos (por longitud de onda λ), sincronización de trayectoria para máxima eficiencia, optimización del ángulo de proyección, configuración dinámica del índice de refracción m, permitiendo movilizar el banco de pruebas: arreglo de cometas captadoras y lentes reconfigurables por la región y optimizar los parámetros, minimizando el número de componentes, a través de un único mecanismo centralizado de cascada de fotones, considerando modelos físicos de receptores de caídas de partículas (FPR). |
Undimotriz y sistemas de almacenamiento de energías Renovables ESS por Reutilización de infraestructura |
La solución de ingeniería de modelo circular para reconversión de plantas de energía en sistemas estratégicos de almacenamiento de energías renovables, está enmarcada en el amplio potencial de líneas costeras, que dota de una capacidad asociada a los puertos de descarga de combustible en la infraestructura energética instalada, lo que permite plantear como meta una adaptación, mediante un modelo genérico del activo, para estimar la rentabilidad por unidad de reconversión, así como el ahorro en activos y el impacto ambiental. El primer factor determinante debe venir de la implementación de tecnologías verdes innovadoras, en el marco de alianzas estratégicas de transferencia tecnológica. Estas tecnologías se deben caracterizar por flexibilidad, reutilización de hardware y energía, cero residuos y mínima intervención de espacios. |
ERNC-DAT un software de levantamiento de datos, co-diseño y gestión inteligente |
Software de gestión sobre modelos matemáticos, comprende una etapa de levantamiento de datos para contar con un inventario de potencial, en las áreas de infraestructura, recursos, equipos, talento humano y energético de la región. Se plantea la aplicación de conceptos como gemelos digitales para la interacción entre la planta física y sistema digital de monitoreo, LiDAR para la actualización dinámica de planos y IED dispositivos electrónicos inteligentes para la configuración de las etapas por tecnología de hardware reconfigurable FPGA. |
Metodología
Se plantean casos de estudio, el experimento consta de dos etapas por equipo de investigación, en una primera se establece una unidad de análisis para definir, en la segunda etapa, se deben establecer líneas alternativas y sobre la base de ambas líneas, desarrollar debates aplicando TICs, para fortalecer la inferencia. Se deberá registrar de forma detallada las ideas, documentar las alternativas de solución y validación mediante análisis teórico y estudios de naturaleza empírica, sin alterar los ecosistemas del estudio, aplicando el conocimiento con responsabilidad ambiental. Se promueve ampliar la capacidad de reconocer patrones complejos por memorización de estelas de trayectoria. En este sentido, se propone retomar esta técnica, para el análisis de flujo aerodinámico, el grabado de las olas, ondas en movimiento y establecer la observación científica de los ciclos y líneas de tiempo de las variables físicas, su efecto sobre la arquitectura del espacio tiempo, movimiento y energía.
Se pretende contrastar los postulados con teorías de Física de partículas, aporte de energía cinética y energía de reposo (asociada a la masa de la partícula), velocidad relativa respecto al sistema de referencia. La masa de las partículas dada por la interacción con el campo (entrelazamiento), en una superficie imaginaria de campo acotado se tiene un criterio de simetría y equilibrio (biestable) para definir el comportamiento del sistema y las consideraciones para desmontar el modelo clásico y reinterpretación por dualidad. Todo cuerpo en estado de reposo mantiene un potencial de energía acumulada, al ser perturbado, rompe su inercia y crea una interacción con el medio, donde la medición del efecto viene a ser la variable medible, por lo que los modelos están acotados por las dimensiones físicas conocidas.
En el método de modelado se asignan fragmentos de teorías, modelos o postulados iniciales, se crea un espacio de debate con una red de arquitectura radial, para estimular la ponderación de la teoría, se avanza sobre la trayectoria colocando los postulados más cerca o lejos según la compatibilidad. Así se asignan pesos sinápticos complejos w, con un componente que corresponde al radio y un componente correspondiente al ángulo, con el objetivo de alcanzar el punto óptimo. Así mismo la experimentación sobre modelos corresponde a la aplicación de π gemelos digitales, donde se intenta lograr la convergencia entre la tecnología (cómputo paralelo en VHDL), la física y la matemática, especialmente basada en LFSR con geometría de progresión geométrica π. Estas herramientas generalmente aplicadas en sistemas de control de plantas, resultan especialmente útiles para desarrollos de modelos biomiméticos, ensayos de bioingeniería, modelos de ecosistemas y sistemas físicos no intervenibles. El gemelo digital corresponde a una representación matemática de sistemas físicos en un entorno virtual y simular su comportamiento, estado y rendimiento (Chicaiza et al., 2024).
Iniciativas de ciencia aplicada a RSE
Se han desarrollado un conjunto de proyectos desde el laboratorio de microcontroladores, los cuales han tenido un enfoque de asistencia social y ambiental, donde cada grupo de estudiantes implementan las etapas de la asignatura en una aplicación de innovación tecnológica. El primer factor a mencionar es la motivación de los integrantes, adquiriendo destrezas para formalizar el conocimiento práctico. (1) Implementación con materiales reciclado, (2) investigación teórica para el diseño de mecanismos óptimos, donde se logre el menor consumo de energía en los accionamientos, (3) formalización de la experiencia en la producción de un artículo con rigor científico para documentar los hallazgos.
Una fórmula metodológica es proponer proyectos de diseños innovadores para ser presentados en seminarios y congresos. El resultado corresponde a aplicaciones de robótica asistencial, sillas de ruedas (Valero et al., 2012) , dispensadores de alimentos para mascotas teleoperado a través de microcontroladores para iniciativas de responsabilidad socioambiental (Figura 3), que pueden ser implementados en programas RSE de empresas y grupos de investigación.

Figura 3. Iniciativas implementadas en Proyectos RSE.
Resultados y discusión
Se ha planteado la enseñanza de la ciencia a través de proyectos, ya que como estrategia permite al estudiante (en el campo de STEM, ciencia e ingeniería) involucrarse de forma activa (Tuyarot, 2015), se selecciona un tema científico de actualidad, se realiza el estudio de los principios enunciados y se plantea una generalización desde el enfoque físico-teórico. La investigación científica cumple con el método de alcanzar un aprendizaje significativo, que está respaldado por el interés del investigador en probar las inferencias, siendo las herramientas TIC un recurso fundamental (Echeverría et al., 2024). Por otra parte, habilidades como el análisis crítico, creatividad, resolución de hipótesis, colaboración fomentada por la estrategia de proyectos de investigación, representan un impacto socio ambiental positivo por la aplicación de metodología de educación STEM (Chiliquinga et al., 2024).
Caso I. Técnicas de aislamiento de materiales en soluciones diluidas (Yan et al., 2024). La extrapolación de técnicas de aislamiento a un componente genérico configurado con carga y reactividad específica, en el marco de materiales fluidos programables, que permita aislar un elemento en la matriz de fuente diluida, aplicando análisis espectral, para establecer la frecuencia de resonancia, como método físico de aislamiento selectivo, con el fin de establecer una técnica ecológica y eficiente energéticamente. Todo esto en aplicaciones de reciclaje selectivo, configuración dinámica y comportamiento inteligente de materiales a nivel industrial, lo que aporta en el modelo circular de las tecnologías.
CASO II. Para el tratamiento espectral de componentes se requiere la implementación de la transformada cuántica de Fourier TCF (Marín, 2022). El procesamiento a través de operadores de convolución , aplicando teoría de grupos en algebra de Galois, donde se establece el reconocimiento de la estructura LFSR para circuitos cuánticos en el algoritmo de TCF con operadores de la forma: , siendo soporte en producto tensorial y compuertas cuánticas, implementadas sobre tecnología FPGA (Torres, 2023).
CASO III. Estos conceptos pueden ser aplicados para tecnología fotovoltaica tándem (Xahuentitla & Pulido, 2024) y soluciones de recombinación, mediante el uso de nanopartículas que soportan resonancias plasmónicas de superficie localizadas (LSPR) en los modelos ópticos, potenciando la absorción de fotones (Bueno et al., 2024). El manejo de capas de materiales en solución coloidal (propuesto como método de diseño sostenible), con el objetivo de simplificar el reciclaje. Los cometas de optimización: concentradores, filtros, configuradores, compensadores y regenerativos, de diseño biomimético, inspirados en las medusas (con propiedades bioluminiscentes), con doble membrana de confinamiento para cámaras de aire de geometría configurable, plasma con polarización de carga eléctrica y solución diluida, formulada como lente paramétrica, mediante concentración dinámica de la solución coloidal.
Entre los resultados prácticos se encuentra el diseño de ensayos diseñados para el estudio los principios físicos en aplicaciones RSE.
Objetivos de la práctica:
Metodología de los ensayos prácticos
Aplicaciones prácticas de Fïsica RSE

Figura 4. Diseño Conceptual del Laboratorio itinerante de física aplicada en RSE.

Figura 5. Sistema Físico de Polipastos para fisioterapia.
Diseño de ensayos guiados para experimentación remota
Postulado I. El estudio de los sistemas identificando la relación de principios físicos y modelos matemáticos para soluciones de responsabilidad social ambiental. Se plantea una solución científica para restablecer las condiciones de glaciación natural, donde la geometría proyectiva (área de las matemáticas) se perfila como una alternativa factible.
¿La situación de los glaciares puede ser revertida mediante un parasol programable que mantenga las condiciones de los ecosistemas de montaña? el objetivo sería filtrar la radiación solar incidente a través de un cometa solar proyector, logrando reducir la temperatura y promover las condiciones regenerativas de glaciación, estimulando vórtices eólicos que permitan facilitar zonas de acumulación y aplicando conceptos de ingeniería de tejidos, construir un andamiaje de sustentación del volumen glaciar.
El diseño de un géiser3 de hielo, con andamiaje de topología configurable (Figura 6), se presenta como un gemelo digital para crear un proceso de regeneración glaciar controlado, basado en proyectos de glaciares artificiales basadas en principios físicos de hidrodinámica y regeneración natural.

Figura 6. Física aplicada en soluciones ambientales.
La reglaciación: (1) parasol programable, a través de una cometa que se posiciona limitando la radiación solar incidente sobre la superficie del glaciar, (2) recuperador de temperatura, mediante circuitos de bomba de calor, con un suministro de agua en el que se extrae energía para su cristalización sobre un géiser de hielo con andamiaje de soporte, además de procesos de sublimación inversa (cambio de fase) para conversión de vapor de agua en volumen glaciar, estos mecanismos permitirán la conversión de energía térmica que puede ser transmitida para el suministro de las poblaciones cercanas. (3) Dinámica eólica, la estimulación de vórtices regenerativos para crear la incidencia eólica, a fin de reestablecer las condiciones de glaciación en los espacios a recuperar.
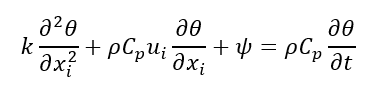
En consideración de los efectos secundarios sobre los ecosistemas de las mantas térmicas directas sobre la superficie de los glaciares, por lo que se plantea la conformación de un arreglo de cometas proyectoras que permitan filtrar la radiación solar para proteger la superficie de hielo del campo actual y crear las condiciones regenerativas, a través de un control de temperatura y técnicas de estimulación de la glaciación, ingeniería de tejidos y otros aspectos de síntesis de las capas glaciares. El modelo de termo mecánica glaciar desarrollado por el GSNCI (Rodríguez, 2014) consta de tres submodelos, Submodelo dinámico basado en sistema de Stokes-conservación de momento lineal y masa:

Se aplica notación de componentes sobre subíndices, donde representa el tensor de tensiones de Cauchy, la aceleración de gravedad, la densidad del hielo, la velocidad, posición.
Submodelo térmico (conservación de la energía):

Donde es la conductancia térmica, calor específico a presión constante, la tasa de calor generado internamente en la unidad de volumen por unidad de tiempo, el tiempo.
Submodelo de evolución de la superficie libre (caracterización cinemática):

Siendo la altura de la superficie glaciar, vectores de velocidad, la tasa de acumulación, un gradiente horizontal. De esta manera se puede modelar la dinámica del glaciar, donde la temperatura será correlacionada con la irradiación solar incidente sobre la superficie del glaciar y las tensiones de tensores puede ser relacionada con la energía eólica incidente, como fuerza de sustentación de la superficie glaciar. Estos modelos se complementan con referencia en la ley de flujo de Glen, para el cálculo de viscosidad del hielo glaciar, velocidad de deformación ε, también se plantea un parámetro de densidad respecto a la geometría del glaciar, expresada en forma exponencial: eμt que pueda ser integrado respecto al tiempo, para estimar la evolución del proceso de glaciación con control de condiciones incidentes.
Postulado II. Mecanismos inteligentes para el bienestar y calidad de vida integral.
El estudio de implementación de técnicas terapéuticas no invasivas, diseño de órtesis aplicando cálculo infinitesimal de las variables estructurales, simulación por métodos numéricos de diferencias finitas y optimización sobre la base de un modelo universal (Milla, 2024), aplicando conceptos de matriz elastomérica, sistemas de amortiguación dinámico para absorción de impacto de forma externa protegiendo las articulaciones y visión asistida con sensores en el rango de ultrasonido, y elementos auxiliares ortopédicos para la protección y movilidad asistida de mascotas.
Postulado III. Arreglos de optimización de energías renovables.
Comprende el diseño de lentes de difracción, reflexión, concentración y captación, basado en principios ópticos, resonancia mecánica y entrelazamiento de ondas. Se manejaron teorías fragmentadas para el estudio de grupos y subredes modeladoras, se logra una buena aproximación del caso particular a través de pruebas de validación (test), se incluyen condiciones iniciales, condiciones de borde, interferencia inter simbólica simétrica y se unifican mediante debate pedagógico de postulados, para la superposición de modelos compatibles e inclusión de términos de corrección de ecuaciones. Se universaliza el modelo discreto mediante la toma de n muestras, con la aproximación de la integral de densidad de energía μ(x), donde la ecuación modelada para los casos discretos muestra un patrón que corresponde a la función densidad del campo del sistema físico estudiado.
Postulado IV. No tiene que ser complicado para ser ciencia.
Lo primero es reconocer los talentos de los innovadores, luego documentar los conocimientos y optimizar las soluciones. Un ejemplo son las sillitas ortopédicas para la movilidad asistida de mascotas, a estas iniciativas se puede sumar la adaptación de mecanismos articulados y acoplamientos con amortiguación, la distribución de carga mecánica de forma óptima, a fin de mejorar la estabilidad estructural. Un poco de ingenio, algo de tecnificación y mucha voluntad, puede lograr grandes cambios, de eso también se trata la ciencia aplicada, de formalizar saberes. Se seleccionan un conjunto de configuraciones experimentales de arreglos concatenados, potencialidades de lugares y gestión circular, para diseñar experimentos prácticos de enseñanza de física, aplicando tecnologías TICs para el diseño de laboratorios de innovación (Sandoval-Ruiz, 2021).
Postulado V. Ciencia con propósito RSE. Los sistemas físicos pueden ser interpretados de acuerdo con el observador, la selección de variables físicas y el nivel de abstracción. La simplificación más eficiente corresponde a la generalización del modelo para su ajuste mediante parámetros, enfoques configurables (lente de formulación dinámica) y esto se logra con un método de construcción del pensamiento mediante el debate, análisis y síntesis, siendo las directrices de la pedagogía científica. Tal como enseñar valores es la base de la educación, un modelador requiere contar con métodos de aproximación basada en criterios de sostenibilidad, estabilidad y eficiencia, priorizando entre estos principios de protección ambiental.
Teoría de compensación simétrica. La ecuación del modelo físico generalizado debe contemplar un término de compensación por simetría (Figura 7), para regeneración energética.

Figura 7. Laboratorio itinerante de física aplicada al estudio de compensación simétrica.
De esta manera, se logra abordar el análisis de compatibilidad del estudio de los mecanismos de estabilización giroscópicos, independiente de la escala con sistemas físicos macroscópicos, identificando la compensación simétrica de dos fuerzas equivalente que se anulan por su simetría, respecto a un eje ecuatorial de referencia, por el sentido de giro definido por efecto Coriolis. Lo que permite sustentar las ecuaciones físicas propuestas en el modelo LFSR (Sandoval-Ruiz, 2024), en el que se incorpora un término de compensación por interacción de elementos distribuidos como generadores de vórtices, tanto en teorías de fluidodinámica cuántica, como microsistemas aplicados a energías renovables.
La biomimética y gemelos digitales son herramientas para desarrollo sostenible en el ámbito de las ciencias físicas, matemáticas y naturales.
Conclusiones
Gracias al estudio realizado, se logra establecer un método formulación de proyectos de responsabilidad ambiental, para motivar la búsqueda de soluciones sostenibles, sin condicionar el alcance de la investigación científica, a través del reconocimiento de patrones fractales en los modelos físicos, sistemas dinámicos y ondas, donde se plantea como principios:
Deducir una técnica de modelado matemático, éste puede ser desarrollado de forma eficiente por algoritmos, pero es un factor importante la formulación de un enfoque por parte del científico, bajo criterios de empatía y responsabilidad ambiental en diseños.
Incluir un término de holgura, es una técnica pedagógica de deducir un modelo a partir del reconocimiento de patrones y reconstrucción de conocimientos con criterios de sostenibilidad y responsabilidad ambiental.
Observar los sistemas físicos de manera objetiva, esto definiendo postulados, como parte de una técnica de debate, donde el objetivo es exponer las ideas desde diversas ópticas y sintetizar el modelo de forma descriptiva, dentro de una arquitectura de base.
Sistematizar la aplicación de un patrón de geometría simétrica, como elemento de compensación, cuyo valor fundamental radica en la oportunidad de definir un equilibrio dinámico en la conservación de la energía de los sistemas, dando lugar a la mitigación de impacto ambiental.
Referencias bibliográficas
Bueno, J., Carretero-Palacios, S., & Anaya, M. (2024). Efectos plasmónicos sinérgicos de campo cercano y lejano para la optimización de celdas solares tándem de Perovskita. Revista de la sociedad española de materiales, 8(2), 26-29.
Chicaiza, W. D., Gómez, J., Sánchez, A. J., & Escaño, J. M. (2024). El Gemelo Digital y su aplicación en la Automática. Revista Iberoamericana de Automática e Informática industrial, 21(2), 91-115.
Chiliquinga, R. R., Rodríguez, K. L., Luje, D. I., & Pucha, O. I. (2024). Desarrollo de habilidades del siglo XXI a través de la educación STEM. Revista Imaginario Social, 7(2). https://doi.org/10.59155/is.v7i2.191
Cruz, M. F. R., Pavin, C. S., Silva, E. P., de Moura, I. M., Garcia, G., Silva, M. P., ... & da Silva Neto, J. F. (2024). Reabilitação animal através da utilização de órteses, proteses e terapias complementares. Caderno Pedagógico, 21(5), e4318-e4318.
Echeverría, M. P. P., Pozo, J. I., & Cabellos, B. (2024). ¿Ayudan las tic a una enseñanza más centrada en el estudiante en las materias STEM?. Investigações em Ensino de Ciências, 29(1), 396-409.
Guzmán Jiménez, J. J., & Aguirre Salguero, G. P. (2024). Diseño arquitectónico de un centro de rehabilitación ecoamigable para animales en situación de calle en la ciudad de Guayaquil (Bachelor's tesis), Guayaquil: ULVR, 2024.
Marín, H. A. (2022). Transformada Cuántica de Fourier. Revista Innovación Digital y Desarrollo Sostenible.IDS, 2(2), 9-18.
Milla Parramón, A. (2024). Estudio, diseño y montaje de sillas de ruedas universales para perros. (Bachelor's tesis), Universitat Politècnica de Catalunya.
Rodríguez, C. (2014). Integración de modelos numéricos de glaciares y procesado de datos de georradar en un sistema de información geográfica (Doctoral dissertation), E.T.S.I. Telecomunicación (UPM).
Sandoval-Ruiz, C. (2024). xyz Modelo de optimización de arreglos de cometas captadoras de energías sostenibles. Revista Técnica de la Facultad de Ingeniería Universidad del Zulia, 46(2), e244701. https://doi.org/10.22209/rt.v47a01
Sandoval-Ruiz, C. (2024). ZPF para arreglo de Proyección de Onda: φ-LFSR en Modelado Fp[x]/f(x) de Sistemas de energías renovables». Revista de la Universidad del Zulia, 15(42), 281-305. https://doi.org/10.46925//rdluz.42.16
Sandoval-Ruiz, C. (2024). e-KiteLab: investigación en física aplicada para mantenimiento y optimización de sistemas de energías renovables. Revista Investigación & Desarrollo, 24(1), 95-105. https://doi.org/10.23881/idupbo.024.1-8i
Sandoval-Ruiz, C. (2024). Ω – Vórtices y acoplamientos resonantes en modelo de patrón de flujo toroidal regenerativo mediante física moderna y ondas. Calibre Revista Brasiliense de Engenharia e Física Aplicada, 9(1), pp.1-20. https://doi.org/10.5281/zenodo.13926923
Sandoval-Ruiz, C. (2024). Operador matemático para caracterización y optimización de etapas de sistemas físicos. Revista Colegiada de Ciencia, 5(2), 88–98. https://doi.org/10.48204/j.colegiada.v5n2.a5029
Sandoval-Ruiz, C. (2023). YPR-alignment angles for wind energy harvesting kite arrangement: α,β,γ-coefficients for control and maintenance of regenerative flow patterns. UCSA, 10(3), 3–15. https://doi.org/10.18004/ucsa/2409-8752/2023.010.03.003%20%20
Sandoval-Ruiz, C. (2023). Biomimética Aplicada a Modelos de Sistemas de Energías Renovables Reconfigurables Basados en Estructuras Autosimilares. Revista Técnica De La Facultad De Ingeniería. Universidad Del Zulia, 46(1), e234602. https://doi.org/10.22209/rt.v46a02
Sandoval-Ruiz, C. (2021). Capacitación remota en competencias técnicas en el marco de la ambientalización de la Ingeniería La formación con herramientas TICs para soporte del Teletrabajo. Revista Eduweb, 15(2), 10-21. https://doi.org/10.46502/issn.1856-7576/2021.15.02.1
Sandoval-Ruiz, C. (2020). Proyecto Cometa Solar–CS para optimización de sistemas fotovoltaicos. Universidad Ciencia y Tecnología, 24(100), 74-87.
Torres Suárez, N. (2023). Realización de la transformada cuántica de Fourier utilizando una FPGA. (Trabajo de Grado). Universidad Politécnica de Madrid.
Tuyarot, D. E., & Arriassecq, I. (2015). Enseñanza de la física universitaria a través de proyectos: el motor de Stirling. Revista de enseñanza de la física, 27, 447-452.
Valero, J., Bonilla, Y., Sandoval, C., & Duque, C. (2012). Sistema de control de una silla de ruedas para seguimiento automático. In Memorias del Congreso ASME USB (pp. 1-7).
Xahuentitla, D. T., & Pulido, J. J. A. (2024). Celdas solares avanzadas: el papel crucial de las tecnologías TÁNDEM. RD-ICUAP, 10, 179-193.
Yan, G., Wei, J., Apodaca, E., Choi, S., Eng, P. J., Stubbs, J. E., ... & Liu, C. (2024). Identifying critical features of iron phosphate particle for lithium preference. Nature Communications, 15(1), 4859.

Este artículo está bajo la licencia Creative Commons Atribución 4.0 Internacional (CC BY 4.0). Se permite la reproducción, distribución y comunicación pública de la obra, así como la creación de obras derivadas, siempre que se cite la fuente original.
Estimular el interés hacia la ciencia sería definiendo “rutas escénicas” (Tabla 1) basadas en centros de interpretación, en el marco de lo que se conoce como turismo científico. “El estudio de fenómenos ópticos como las auroras boreales, australes, reflectancia de luz solar (salar de Uyuní, Bolivia), fenómenos eléctricos (relámpago del Catatumbo, Venezuela), efecto Coriolis (Ecuador), potencial de irradiación solar en el desierto (Atacama, Chile), ciclos de glaciación (Calafate, Argentina), entre otros tantos”.
La propuesta comprende un laboratorio itinerante para visitas en parques de energías renovables, estudio de potencial mediante escaneo con cometas solar-eólicos, modelado matemático en sitio que permita adaptar las soluciones técnicas y propuestas de optimización con tecnología avanzada del laboratorio de física aplicada.
Es una fuente a presión, según su naturaleza puede ser un géiser geotérmico, géiser marítimo, donde la acción de las mareas incide en cámaras submarinas de aire comprimido (principio que puede ser aplicado en conversión de energía renovable), o géiser de hielo, formaciones por la acción del viento y las bajas temperaturas, cristalizadas según patrones estructurales específicos de la región.