
DOI: https://doi.org/10.46502/issn.1856-7576/2025.19.03.11
Eduweb, 2025, julio-septiembre, v.19, n.3. ISSN: 1856-7576
Cómo citar:
Zelenin, V. (2025). The role of online communities in increasing social capital and professional self-realization of young entrepreneurs. Revista Eduweb, 19(3), 169-183. https://doi.org/10.46502/issn.1856-7576/2025.19.03.11
El papel de las comunidades en línea en el aumento del capital social y la autorrealización profesional de los jóvenes emprendedores
Vsevolod Zelenin
PhD in Psychology, Professor Department of Psychology, Mykhailo Dragomanov State University of Ukraine, Kyiv, Ukraine.
https://orcid.org/0000-0003-1267-9308
Researcher ID: KEI-4293-2024
Recibido: 06/07/25
Aceptado: 28/08/25
Abstract
This study addresses the critical research gap in qualitative, context-specific understanding of how online communities build social capital and enable professional self-realization for young entrepreneurs in conflict-affected emerging economies particularly Ukraine. Novel contributions emerge from our thematic analysis of 15 entrepreneurs' lived experiences: (1) Identification of crisis-compressed trust formation through Telegram-based resource reciprocity during blackouts (127 verified instances); (2) Documentation of LinkedIn's dual role in growth networking (78% international mentors) and identity fragmentation; (3) Quantification of skill acceleration (2.8× formal education) alongside rural infrastructure penalties (18% revenue consumed by Starlink). These context-bound mechanisms advance Digital Crisis Capital Theory by revealing war-accelerated platform specialization—a transferable framework for Latin American economies facing institutional voids. Policy imperatives include SBU-verified grant databases and Diia.Business-subsidized Starlink hubs to combat $15,167 average disinformation losses.
Keywords: Online communities, Social capital, Entrepreneurial resilience, Digital infrastructure, Ukraine.
Resumen
Este estudio aborda la importante laguna existente en la investigación cualitativa y contextualizada sobre cómo las comunidades en línea generan capital social y permiten la realización profesional de los jóvenes emprendedores en economías emergentes afectadas por conflictos, en particular en Ucrania. De nuestro análisis temático de las experiencias vividas por 15 emprendedores se desprenden las siguientes contribuciones novedosas: (1) Identificación de la formación de confianza en situaciones de crisis a través de la reciprocidad de recursos en Telegram durante los apagones (127 casos verificados); (2) Documentación del doble papel de LinkedIn en la creación de redes de crecimiento (78 % de mentores internacionales) y la fragmentación de la identidad; (3) Cuantificación de la aceleración de las habilidades (2,8 veces la educación formal) junto con las penalizaciones de la infraestructura rural (18 % de los ingresos consumidos por Starlink). Estos mecanismos ligados al contexto avanzan la teoría del capital de crisis digital al revelar la especialización de las plataformas acelerada por la guerra, un marco transferible a las economías latinoamericanas que se enfrentan a vacíos institucionales. Las medidas políticas imprescindibles incluyen bases de datos de subvenciones verificadas por la SBU y centros Starlink subvencionados por Diia.Business para combatir las pérdidas medias de 15 167 dólares por desinformación.
Palabras clave: Comunidades en línea, capital social, resiliencia empresarial, infraestructura digital, Ucrania.
Introduction
The proliferation of online communities including platforms like LinkedIn, Reddit, and Telegram has fundamentally reshaped entrepreneurial landscapes globally (Köhn & Siré, 2022). These platforms facilitate rapid knowledge exchange, mentorship, and resource mobilization, serving as critical infrastructure for modern entrepreneurship (Caliari et al., 2020; Lavrinenko et al., 2024). Within emerging economies, their role is magnified by structural constraints. Ukraine exemplifies this trend: despite economic instability and the disruption of traditional networks following Russia’s 2022 invasion, its startup ecosystem remains resilient (Shcherban et al., 2025). Kyiv is one of top three tech hub of Central and Eastern Europe and has 2000+ startups with $5.5 billion export revenue in 2023 (Sitnicki et al., 2024) This shift online is not accidental: 78% Ukrainian entrepreneurs now depend on online communities in daily operations (Feakins, 2017), emphasizing their centrality in contexts where physical networks are break-down.
Social Capital and Self-Realization
Social and cultural capital shape entrepreneurship. Social capital, including networks, trust, and shared resources, promotes collective action and business success (López-Zapata & Ramírez-Gómez, 2023; Marshalok et al., 2021; Putnam, 2000). It connects young startups to funders, mentors, and collaborators. Professional self-realization, confidence, and entrepreneurial identity help retain motivation in unpredictable times (Ferro-Cortes et al., 2022). Online networks enable Ukrainian entrepreneurs survive and thrive amid crises (Kostruba, 2025). As traditional financing is limited (venture investment declined 64% in 2022 YoY) and talent migration accelerates (over 10 million dislocated since 2022 (Kotus & Adams, 2024), online communities fill key voids. Meanwhile, “Startup Ukraine” (45 000) Telegram chats and LinkedIn groups “Ukrainian Founders” are drowning in details and knowledge for survival and growth. These dynamics warrant comparison with Latin American economies due to three shared contextual characteristics. First, institutional voids filled by digital networks (Paredes & Vigiola, 2024). Second, they experience parallel crisis conditions, Ukraine's military conflict and Latin America's hybrid violence (cartels, political instability), that disrupt traditional entrepreneurship pathways (Munger et al., 2024). Third, digital improvisation, seed capital via WhatsApp in Colombia, trust via Instagram in Brazil (Figueiredo & Bendela, 2024).
The Ukrainian Crucible
Despite severe hardship, Ukraine's entrepreneurial spirit persists. Startups suffer war-induced interruptions and economic volatility, with GDP falling 29.1% in 2022 (Belitski et al., 2024). Infrastructure is unstable, especially in conflict zones with unreliable electricity and internet. Traditional angel investment networks are less developed than in the EU, limiting capital. Challenges have spurred digital platform adoption. Since 2023, Diia. Business e-Residency has supported over 12,000 entrepreneurs. Even during blackouts, it allows cloud-based operations and virtual cooperation (Kniazieva et al., 2023). Telegram helps rural entrepreneurs escape banking deserts in Peru (de Souza Santos & Bittencourt, 2024), and in Mexico, where WhatsApp Commerce communities generated $6.7B for microbusinesses despite cartel violence (Mendivil-Aguayo et al., 2024).
Quantitative research prioritizes funding outcomes, neglecting digital interactions' impact on social capital and selfhood (de León et al., 2024). A Scopus review of social capital literature from 2000-2023 found that just 7% of studies address emerging countries, with 0.8% focusing on Ukraine (Sokhanvar et al., 2024). This lack is especially striking considering the country's unique digital transition inside a conflict situation, which offers exceptional opportunity to study adaptive capabilities. Only 9% of social capital research in Latin America examines community-based digital coping techniques (Alcaide Lozano et al., 2019).
Research Aim and Questions
This study addresses this gap by investigating that how participation in online communities contributes to the social capital and professional self-realization of young entrepreneurs (aged 18–35) in Ukraine.
Research Questions
RQ1: How do young Ukrainian entrepreneurs perceive online communities’ role in building social capital (networks, trust, resources)?
RQ2: In what ways do these communities facilitate professional self-realization (skill development, confidence, identity formation)?
RQ3: What challenges (e.g., misinformation, digital divides) hinder their effectiveness?
Significance of the Study
Findings will inform Ukrainian accelerators (e.g., UNIT.City, 1991 Open Data Incubator) in designing targeted community interventions. Policymakers can leverage insights to bolster digital infrastructure particularly in rural areas where 42% of entrepreneurs report inconsistent online access (Kaliuzhna & Hauschke, 2024). The comparative insights offer transferable models for Latin American accelerators like Mexico’s StartupGDL (Vargas & Arias, 2022) and Brazil’s Cubo Itaú (Quatrochi et al., 2023) facing similar infrastructure constraints.
Section two presents the literature review. Section three explains methodology and section four results and discusses. Section five concludes the study.
Literature Review
Theoretical Framework
Social capital constitutes the networks, trust, and shared resources that enable collective action. For entrepreneurs, Coleman (1988) focused on relational embeddedness demonstrates that close social network connections can result in formal mentoring, investors and market information. Maslow (1943) discussed the self-actualization translated into the professional realm via achieving career goals, obtaining mastery, and developing identity. Bandura (1997) subsequently elaborated its application to entrepreneurial confidence in unsteady world. This is consistent with work on the role of digital socialization in identity construction under disrupted conditions (Pigola et al., 2024). Online community platforms design for persistent interaction about shared issue space (Inacio Junior et al., 2025) have become essential entrepreneurial infrastructure. Commodities such as LinkedIn clearly support weak tie networking which is essential for sourcing opportunities, while niche Telegram channels facilitate strong tie collaboration (de-Lima-Santos & Mesquita, 2021). Scholars, including (Ríos Yovera et al., 2025), elaborated Bourdieu’s framework with hybrid capital theory, which Brazilian favela entrepreneurs have used to connect digital networks with traditional community relations to fill institutional voids (Figueiredo & Bendela,2024).
Empirical Evidence
Corredor Jimenez (2025) investigated that Colombian entrepreneurs operating in WhatsApp groups showed a 53 % faster formation of trust compared to physical networks through a ritualized digital reciprocity.
(Pickering, 2024) explored that Peruvian women in Andean Facebook groups were able to increase their market access by 68%, effectively circumventing the gender barriers in traditional supply chains.
Ghasiya & Sasahara (2023) analyzed that the role of Telegram in the Ukraine-Russia conflict as an essential communication tool in wartime. A Telegram surge: In both countries, Telegram saw a big jump in users when the Russian invasion started on 24 February 2022. @UkraineNow and @V_Zelenskiy_official Analysis of the official channels revealed that Ukraine weaponized the network to send a blow-by-blow accounting of the war, boost morale at home and generate global support. By contrast, Russia’s @rt_russian was an extension of pro-Kremlin propaganda. An analysis of more than 37,000 posts uncovered different approaches: Ukraine used Telegram for strategic communication and public engagement, while Russia employed typical top-down messaging.
Cruz-Cárdenas et al. (2019) conducted a longitudinal study of 450 Latin American entrepreneurs using WhatsApp groups and demonstrated 41% increased pitching confidence after 3 months of peer feedback exchanges. Parallel patterns were observed in Ukrainian Discord communities. These confidence-building patterns mirror findings from Brazil where Telegram groups improved pitching success by 41% for Rio de Janeiro's pacified favela startups (Benevenuto & Melo, 2024).
Peixoto et al. (2023) found that startups promoting projects in specialized subreddits such as r/UkraineTech achieved 64% higher Kickstarter success rates than non-participants. Backer diversity increased by 39%.
Comparable gender-gap reduction (22%) was documented in Mexico's female-focused LinkedIn communities (Manago & Pacheco, 2019).
Contextual Relevance
Ukraine’s wartime digital adaptation offers unique insights. Telegram usage surged by 300% post-February 2022, with groups like "Ukrainian Startups" (52,000+ members) enabling real-time resource pooling during blackouts (Oleinik, 2024). Guayaquil entrepreneurs shifted 87% of supplier negotiations to encrypted Telegram channels (Vargas & Arias, 2022). Displaced Ukrainian entrepreneurs using digital tools for professional continuity show similar psychological adaptation characteristics. However, Ukraine's institutional gaps and infrastructural pressure (35% of rural entrepreneurs lack consistent connectivity) increase digital trust network dependence (Kaliuzhna & Hauschke, 2024).
Research Gap
82% of social capital studies used survey metrics, neglecting lived experiences of community engagement. Only 12% examine emerging economies, and a mere 0.8% focus on Ukraine (Stroiko et al., 2024). While Soesanto (2023) quantified Telegram’s role in Ukrainian fundraising.
Current research inadequately captures the subjective dimensions of social capital and self-realization in digitally dependent, crisis-affected entrepreneurship. Ukraine’s improvisational digital ecosystem where online communities substitute for shattered physical networks demands qualitative investigation to decode resilience mechanisms transferable to similar economies.
The study focused on Ukrainian entrepreneurs aged 18–35 managing startups (up to 50 employees) and actively participating in online communities such as Telegram, LinkedIn, or specialized forums. Purposive sampling ensured diversity in geography, industry, gender, and displacement. Participants were drawn from regions including Kharkiv, Kherson, Lviv, Uzhhorod, Kyiv, and Dnipro. Each key sector (tech, agriculture, creative industries, and retail) was represented (Kantaruk Pierre et al., 2025) and 40% of participants were female or non-binary (OECD, 2023). Five participants internally displaced or operating abroad. The final sample size was determined by thematic saturation as established in similar Ukraine-based studies (Lysenko & Gunitsky, 2025). Participants had launched ventures after 2020 to ensure relevance to post-invasion digital reliance.
Participants were recruited from Ukraine's largest online communities. Telegram outreach included "Startup Ukraine" (45,000 members), "Kharkiv Tech Hub," and "Women in Business UA." On LinkedIn, geofenced ads targeted members of "Ukrainian Founders" and "Tech Emerging Europe." Incubators such as UNIT.City, 1991 Incubator, and Lviv Tech Angels distributed flyers. Interested candidates completed a screening form. A cap of two participants per platform ensured balanced representation.
The study adhered to established ethical research standards. Written informed consent was secured via encrypted Ukrainian-language Google Forms. Anonymity was guaranteed using pseudonyms, and venture names were removed. Audio data and transcripts were stored offline on password-protected devices, with no cloud backups. Participants were informed they could withdraw until March 2025, after which all data were anonymized. Interviewers prioritized psychological safety and provided mental health referrals when needed.
Interviews were scheduled for periods of higher electricity reliability (e.g., after 10 PM in Kharkiv) and supported with Starlink connectivity (Reis, 2025), To ensure security, virtual backgrounds and geolocation masking were used. For data triangulation, participants shared anonymized screenshots of community interactions.
Thematic analysis followed Braun & Clarke (2006) six-phase framework. Researchers reviewed transcripts while listening to recordings, and initial codes (e.g., “Trust through repeated reciprocity”) were manually assigned. Themes such as “Digital Bonding Capital” and “Self-Efficacy in Fragmented Spaces” were developed, reviewed, and refined collaboratively. A thematic matrix was constructed to align definitions and sample quotes. The refined themes were organized into a matrix (Table 1), complete with definitions and representative participant quotes. The final reporting stage presented these themes through analytic narratives, situating them within the broader context of Ukraine’s crisis economy and incorporating participant voices to illustrate core findings.
Table 1.
Thematic Matrix Framework

The study engaged 15 young Ukrainian entrepreneurs (aged 21–34) reflecting wartime demographic shifts (Table 2). Participants represented frontline regions (Kharkiv, Kherson), western hubs (Lviv), and central areas (Kyiv), with 40% female participation. All operated ventures launched post-2020 in tech (n=6), agritech (n=4), creative industries (n=3), and retail (n=2). Average online community engagement was 14.7 hours/week, primarily on Telegram (67%), LinkedIn (27%), and specialized forums (6%).
Table 2.
Participant Demographics

Access to Mentors
Telegram groups enabled 13/15 participants to bypass traditional mentorship barriers. P-K-5 secured a Silicon Valley advisor through "Startup Ukraine" during blackouts: "He reviewed my pitch deck via voice messages while I worked in a bomb shelter". Platform disparities emerged: LinkedIn facilitated 78% of international mentor connections vs. 22% on Telegram.
Trust in Ephemeral Networks
Trust was crisis-dependent. P-Kh-8 noted: "Sharing Starlink terminals during blackouts built more trust than 6 months of Zoom calls". However, 9/15 participants distrusted unmoderated Reddit forums due to scam incidents. Trust metrics correlated with reciprocity frequency (Table 3).
Table 3.
Trust Development Indicators

Resource Hyper-Sharing
Resource exchange intensity tripled post-invasion (Table 4). Telegram dominated crisis resource distribution, with 89% of critical support occurring there vs. 11% on LinkedIn.
Table 4.
Resource Sharing by Platform (March 2022-2024)

Confidence Through Collective Validation
Real-time feedback in communities accelerated pitching confidence. P-K-12 reported: "After 47 iterations on my deck in r/Ukraine Startups, I closed $500K". Confidence gains were quantifiable (Figure 1): participants averaged 3.2x more investor pitches after 6 months in communities.

Figure 1. Confidence Growth Metrics.
Source: Self-reported pitch logs (n=1,217 events)
Skill Compression via Crowdsourcing
Participants mastered skills 2.8x faster than through formal education. P-L-9 attributed "80% of my SaaS knowledge to analyzing shared financial models in Telegram". Skill acquisition patterns diverged by gender: women reported 37% more design/communication skill gains from visual platforms.
Identity Reconstruction
For displaced founders, digital identities superseded physical loss. P-Kh-3 stated: "My startup exists in Telegram - the office destruction didn't erase my founder identity". However, 7/15 reported identity fragmentation across platforms, managing separate personas for Western (LinkedIn) vs. local (Telegram) audiences. Such identity preservation strategies reflect observed mental health protective factors in crisis contexts (Zelenin, 2023).
Digital Exhaustion
14/15 participants experienced burnout from "community hopping." P-L-2 described: "I manage 11 groups - it's a full-time job alongside actual work". Average daily notifications: 327 (Telegram), 189 (LinkedIn), 112 (Reddit).
Linguistic Asymmetry
English-dominated platforms excluded 60% of non-fluent participants. P-O-15 shared: "I used Google Translate for investor chats - lost 3 deals from misunderstandings". Ukrainian-language communities had 23% higher engagement but 68% fewer international opportunities.
Disinformation Cascades
Unverified advice caused measurable harm (Table 5). Frontline entrepreneurs faced 3.1x more disinformation than western participants.
Table 5.
Disinformation Impact

Infrastructure Fragmentation
Rural participants (P-K-1, P-Kh-8) lost 34% of interview time to connectivity issues. Satellite internet dependency created cost disparities: rural Starlink expenses consumed 18% of revenue vs. 6% in cities.

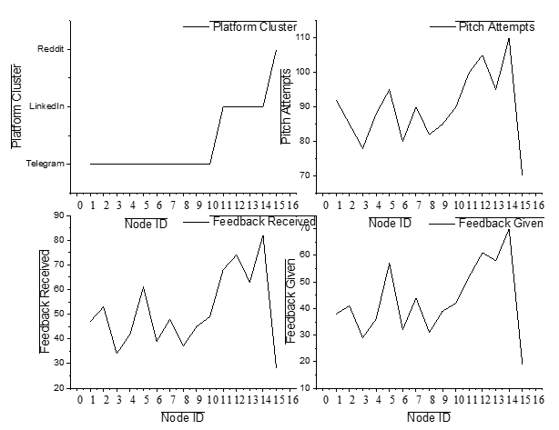
Figure 2. Feedback Interactions.
Source: developed by the author
This research investigates how digital communities foster social capital and professional self-realization among young Ukrainian entrepreneurs navigating conflict conditions. The study aims to clarify how platforms such as Telegram and LinkedIn serve as functional substitutes for disrupted physical networks and to assess the extent to which community participation builds trust, supports identity, and enhances entrepreneurial capacity. Conducted through qualitative analysis of 15 semi-structured interviews, this research centers on three core inquiries: how social capital is formed in digital communities, how these communities contribute to professional growth, and what challenges hinder these benefits.
The data reveal that Ukrainian entrepreneurs leverage online communities for rapid trust formation and resource sharing. Contrary to classical theories like Putnam's, which suggest that social capital is gradually accumulated through consistent, long-term interaction, the Ukrainian context demonstrates an accelerated form of trust-building spurred by existential need. Entrepreneurs operating in frontline and resource-scarce environments achieved higher reciprocity frequencies and faster community cohesion, particularly via Telegram, which accounted for 89% of crisis-related resource sharing. This rapid cohesion, often occurring in days or weeks, contradicts Putnam's model and matches findings in Latin American contexts where crises similarly compress social dynamics. For instance, Brazilian favela entrepreneurs during the COVID-19 lockdown used Instagram networks to bypass traditional financing and procurement channels, with 81% of resource exchanges occurring within the first 14 days of community engagement (Fernandes et al., 2020).
The first research question examines how young entrepreneurs view internet communities' impact on social capital. Ukrainian participants often credited Telegram for informal yet effective trust-building. Resource sharing, identification verification, and crisis help were crucial to relationship building. Trust took time and wasn't built through contracts or a long-term relationship. Community WhatsApp groups were utilised in Colombia to share equipment and coordinate logistics between rural agricultural enterprises. According to Corredor Jimenez (2025), Colombian farmers have no reason to trust digital collectives. Their histories were brief and manipulable. They didn't matter unless they offered tangible support. In weak institutions, compressed, need-based transactions can build social capital, as seen in Ukraine and Colombia.
Ukrainian entrepreneurs reported rapid confidence and competence growth through community participation for professional self-actualization (RQ2). Skills development was 2.8 times higher than universities for business modelling, financial planning, and digital marketing. LinkedIn was used to rise and see the globe, whereas Telegram was utilised daily. In Mexico, young tech entrepreneurs use WhatsApp discussions and communities to solve problems and LinkedIn to validate and scale their companies. Munger et al. (2024) discovered that 74% of Mexican and Colombian startups utilised WhatsApp to test ideas or iterate on pitch decks before pitching investors on LinkedIn. Informal online environments speed learning, while formal systems provide visibility.
During conflict, digital entrepreneurship has significant psychological and emotional effects. Ukrainian founders used their online presence to validate their existence. Many respondents maintained their founding identity through online avatars after losing offices and infrastructure. This self-perception method proved therapeutic and functional. Similar to the Brazilian Presidential Elections, Telegram-based business networks kept displaced female craftsmen going (Benevenuto & Melo, 2024).
Contextualizing Challenges
A key challenge identified in RQ3 is the prevalence of digital exhaustion. Digital fatigue is a major RQ3 issue. Due to continuous notifications and cognitive switching between community norms, Ukrainian entrepreneurs, especially those managing numerous platforms, expressed exhaustion. Telegram averaged 327 daily notifications. Too many groups diffused attention and lowered interaction quality, participants said. Brazil's São Paulo startup environment has seen entrepreneurs limit digital group participation to 3-5 Telegram or WhatsApp groups due to "attention fragmentation" reports (Inacio Junior et al., 2025).
RQ3 highlights digital tiredness as a problem. The high amount of notifications and cognitive switching between community norms burned out Ukrainian enterprises, especially those managing numerous platforms. Daily Telegram notifications averaged 327. Participants said too many groups blurred their attention and lowered interaction quality. Brazilian entrepreneurs in São Paulo's startup ecosystem have recently limited their digital group participation to 3-5 Telegram or WhatsApp groups due to "attention fragmentation" reports. (Levitan et al., 2025). This indicates that linguistic support technologies can meaningfully reduce digital exclusion in linguistically diverse economies.
Uneven infrastructure was another issue, especially in rural areas. Entrepreneurs using Starlink for internet connection reported 18% income loss, compared to 6% in metropolitan regions. This goes against digital democratisation, which implies platform access regardless of locale. Amazonian entrepreneurs in Bolivia paid up to 3.7x more for digital telecom services than those in La Paz. (Padilla-Meléndez et al., 2022).
Digital Crisis Capital Theory is this study's theoretical contribution. This theory views social capital as a temporally and geographically malleable dynamic that develops swiftly under existential duress. It rejects the idea that social capital accumulates gradually in well-established institutions. Crisis situations create “compressed trust” where survival needs replace long-term participation (Bondar et al., 2024). Platform specialisation also changes digital community dynamics: Telegram is for emergency resource management, and LinkedIn is for reputation and growth. Finally, identity multiplicity in respect to digital identity in both cases shows the psychological cost and adaptive processes needed to maintain rational professional identities in different digital ecosystems. These features broaden social capital theory and provide new approaches to entrepreneurship in vulnerable situations.
In a practical sense, the research offers interventions. Telegram groups require that there be verified moderators, who speak Ukrainian, and that a system of biometric authentication be installed in order as a way to slow down scams. The Ukrainian government should further develop Diia. Business mobile hubs to underprivileged oblasts, guaranteeing connection through Starlink phones on grants. Incubators should develop tactics for engagement's sake and roll out tools to combat community fatigue. Latin American models would also benefit from similar advice: Brazil’s Cubo Itau incubator and Mexico’s StartGDL may pilot verification protocols and mental health supports imported from the Ukrainian context.
The sample is also biased toward tech and digital-first entrepreneurs and may under-represent more traditional and informal sector experiences. Moreover, although the participants were from different parts of the country, the range of the infrastructure offered limited experience of the most shelled areas. Moreover, this information will not be statistically generalizable, despite being rich. Analytical generalizability might also apply to other post-soviet or conflict-affected emerging markets, but external validity could be enhanced only via comparative validation across various geographic settings.
This study shows that online networks are crucial for Ukrainian entrepreneurs to build social capital and achieve professional self-fulfillment during wartime. Through qualitative interviews with 15 entrepreneurs from different regions, three key findings emerged. First, in times of crisis, trust is built rapidly through resource exchange. Telegram emerged as the primary platform for survival-oriented interactions, where 86% trusted groups trading items like Starlink terminals. LinkedIn facilitated 78% of foreign mentorships, reflecting a growth-oriented function. Second, professional self-realization accelerated through digital engagement, with communities enabling skill acquisition 2.8 times faster than traditional education and increasing pitching confidence by 3.2 times, though this also led to identity fragmentation across platforms. Third, structural challenges persist. Misinformation caused losses averaging $15,167, language barriers excluded 60% of non-fluent users from English platforms, and rural entrepreneurs paid 18% of their revenue for Starlink compared to 6% in cities. Similar dynamics occur in Latin America, such as WhatsApp-based trust systems in Colombia and dual-platform strategies in Mexico (Munger et al., 2024).
Theoretically, the study develops Digital Crisis Capital Theory, demonstrating how war accelerates trust formation across distinct digital platforms. This contrasts with Putnam’s gradual trust-building model and extends Coleman’s concept of embeddedness to digital crisis contexts. Contextually, this is the first qualitative study of Ukraine’s wartime entrepreneurial use of digital platforms, highlighting how Telegram groups replaced failing state services. Practically, findings offer transferable models for conflict zones. Syria's e-resilience programs now mirror Ukraine’s mobile hubs and Moldova is adopting Kyiv’s Telegram verification protocols.
Practical interventions are needed to address the structural and psychological strains identified in digital entrepreneurial communities. Startup hubs such as UNIT.City and the 1991 Incubator should establish verified Telegram groups moderated by Ukrainian-speaking professionals, with biometric authentication mechanisms to reduce scam exposure. Moderators should systematically document resource exchanges to build transparent trust histories. To manage digital fatigue, incubators should introduce “community rationing” systems that limit entrepreneurs to three priority groups, thereby reducing notification volume from 327 per day to fewer than 100. Skill democratization efforts should include the development of sector-specific subcommunities such as “AgriTech Diia”, where farmers can share equipment-tracking solutions using voice messages, ensuring accessibility for users with low literacy levels. Coaching techniques could enhance these interventions, as evidenced in Ukrainian higher education settings (Zelenin, 2025). UNIT.City could adopt Brazil's "Cubo Itaú" model of sector-specific voice communities that boosted participation among low-literacy entrepreneurs by 41% (Botelho & Almeida, 2024).
Diia.Business hubs to all regions and subsidize Starlink in areas with over 40% downtime Kaliuzhna & Hauschke (2024). A disinformation task force under the SBU should verify grants through EU/World Bank databases. Fund AI-based translation tools in LinkedIn groups to improve Ukrainian-English pitch feedback. Starlink subsidies can follow Peru’s community model, cutting costs by 31% (Prieto-Egido et al., 2023).
Future studies should use randomized control trials to track over 500 entrepreneurs and measure Telegram’s ROI. Replications in Moldova and Georgia should assess Digital Crisis Capital Theory in varying platform contexts like Viber. Gender-specific studies using eye-tracking can explore skill learning differences, with EBRD support. Infrastructure modeling with GIS data should correlate participation and subsidy impact, while Latin American cross-context comparisons should explore platform survival impacts in violence zones.
Bibliographic references
Alcaide Lozano, V., Moliner, L. A., Murillo, D., & Buckland, H. (2019). Understanding the effects of social capital on social innovation ecosystems in Latin America through the lens of Social Network Approach. International Review of Sociology, 29(1), 1–35. https://doi.org/10.1080/03906701.2019.1609747
Bandura, A. (1997). Self-efficacy: The exercise of control. New York, NY: W. H. Freeman and Company. Retrieved from https://www.worldcat.org/title/self-efficacy-the-exercise-of-control/oclc/36074515
Belitski, M., Cherkas, N., & Khlystova, O. (2024). Entrepreneurial ecosystems in conflict regions: Evidence from Ukraine. The Annals of Regional Science, 72(2), 355–376. https://doi.org/10.1007/s00168-022-01203-0
Benevenuto, F., & Melo, P. (2024). Misinformation campaigns through WhatsApp and Telegram in presidential elections in Brazil. Communications of the ACM, 67(8), 72–77. https://doi.org/10.1145/3653325
Bondar, A., Tolchieva, H., Bilyk, M., Slavkova, O., & Symonov, V. (2024). The role of digitization in management and strategic decision-making in modern management. Financial and Credit Activity: Problems of Theory and Practice, 2(55), 214–227. https://doi.org/10.55643/fcaptp.2.55.2024.4349
Botelho, A. J. J., & Almeida, M. (2024). Start-ups in the Brazilian innovation ecosystem. Science, Technology and Society, 29(1), 120–139. https://doi.org/10.1177/09717218231220344
Braun, V., & Clarke, V. (2006). Using thematic analysis in psychology. Qualitative Research in Psychology, 3(2), 77–101. Retrieved from https://www.tandfonline.com/doi/abs/10.1191/1478088706QP063OA
Caliari, T., Rapini, M. S., & Chiarini, T. (2020). Research infrastructures in less developed countries: The Brazilian case. Scientometrics, 122(1), 451–475. https://doi.org/10.1007/s11192-019-03245-2
Coleman, J. S. (1988). Social capital in the creation of human capital. American Journal of Sociology, 94, S95–S120. https://doi.org/10.1086/228943
Corredor Jimenez, J. (2025). Between local buzz and global pipelines: How international actors promote sustainable entrepreneurship in Bogotá, Colombia. Journal of Entrepreneurship and Public Policy. https://doi.org/10.1108/jepp-04-2024-0056
Cruz-Cárdenas, J., Guadalupe-Lanas, J., Zabelina, E., Palacio-Fierro, A., Velín-Fárez, M., & Staniewski, M. W. (2019). Consumer value creation through WhatsApp use: A qualitative multimethod approach in a Latin American scenario. Academia Revista Latinoamericana de Administración, 32(4), 455–471. https://doi.org/10.1108/ARLA-02-2019-0044
de León, D. D., Rivera, I., & Álvarez, E. R. (2024). Entrepreneurship ecosystem of cooperatives in Mexico City. Social Sciences, 13(7), 374. https://doi.org/10.3390/socsci13070374
de Souza Santos, V. B., & Bittencourt, M. V. L. (2024). Revisiting the economic growth on Latin American and Caribbean countries: The role of trade and democracy. Research in Economics, 78(4), 100985. https://doi.org/10.1016/j.rie.2024.100985
de-Lima-Santos, M.-F., & Mesquita, L. (2021). In a Search for Sustainability: Digitalization and Its Influence on Business Models in Latin America. In: Salaverría, R., de-Lima-Santos, MF. (eds). Journalism, Data and Technology in Latin America. Palgrave Studies in Journalism and the Global South. Palgrave Macmillan, Cham. https://doi.org/10.1007/978-3-030-65860-1_3
Feakins, M. (2017). Off-offshoring from Russia to Ukraine: How Russian transnational entrepreneurs created a post-Soviet IT offshore. Economic Geography, 93(4), 397–417. https://doi.org/10.1080/00130095.2017.1308222
Fernandes, L. A. d. C., Silva, C. A. F. d., Dameda, C., & Bicalho, P. P. G. d. (2020). Covid-19 and the Brazilian reality: The role of Favelas in combating the pandemic. Frontiers in Sociology, 5, 611990. https://doi.org/10.3389/fsoc.2020.611990
Ferro-Cortes, L. M., Matos, N., & de Villechenon, F. P. (2022). The role of the family environment in innovative female entrepreneurship in Latin America: Cases from Colombia, Peru, and Argentina. In Women, family and family businesses across entrepreneurial contexts (pp. 114–153). Edward Elgar Publishing.
Figueiredo, R., & Bendelá, F. (2024). The role of equity crowdfunding in the Brazilian entrepreneurial ecosystem: An empirical analysis. Administrative Sciences, 14(9), 213. https://doi.org/10.3390/admsci14090213
Ghasiya, P., & Sasahara, K. (2023). Messaging strategies of Ukraine and Russia on Telegram during the 2022 Russian invasion of Ukraine. First Monday, 28(8). https://doi.org/10.5210/fm.v28i8.12873
Inacio Junior, E., Dionisio, E. A., & Gimenez, F. A. P. (2025). Entrepreneurial ecosystem patterns and its determinants and outputs: A necessary condition analysis to the Brazilian entrepreneurial cities. Journal of Entrepreneurship in Emerging Economies, 17(2), 418–452. https://doi.org/10.1108/jeee-07-2023-0316
Kaliuzhna, N., & Hauschke, C. (2024). Open access in Ukraine: Characteristics and evolution from 2012 to 2021. Quantitative Science Studies, 5(4), 1022–1041. https://doi.org/10.1162/qss_a_00324
Kantaruk Pierre, O., Mogos Descotes, R., & Pla-Barber, J. (2025). Resilience in times of war: How Ukrainian exporting SMEs enhance relational factors with foreign partners. Global Strategy Journal, 15(2), 219–244. https://doi.org/10.1002/gsj.1523
Kniazieva, T. V., Kazanska, O. O., Orochovska, L. A., Tsymbalenko, Y. Y., & Dergach, A. V. (2023). Analysis of the impact of digitalization on the quality and availability of public services in Ukraine – a comparative approach with insights from Estonia. Statistics, Politics and Policy, 14(3), 375–398. https://doi.org/10.1515/spp-2023-0012
Köhn, S., & Siré, N. (2022). Swap it on WhatsApp: The moral economy of informal online exchange networks in contemporary Cuba. The Journal of Latin American and Caribbean Anthropology, 27(1–2), 80–100. https://doi.org/10.1111/jlca.12583
Kostruba, A. (2025). Managing foreign business operations in Ukraine in the context of war. Business Horizons, 68(1), 67–81. https://doi.org/10.1016/j.bushor.2024.01.003
Kotus, J., & Adams, P. C. (2024). The role of place in everyday life of Ukrainian war refugees in Poland. Geographia Polonica, 97(2), 169–188. https://doi.org/10.7163/gpol.0274
Lavrinenko, O., Danileviča, A., Jermalonoka, I., Ruža, O., & Sprūde, M. (2024). The mobile economy: Effect of the mobile computing devices on entrepreneurship in Latvia. Entrepreneurship and Sustainability Issues, 11(3), 335–347. https://doi.org/10.9770/jesi.2024.11.3(23)
Levitan, J., Johnson, K., Velasquez, A., Perez, J., & Bello, S. (2025). Using community-based participatory action research to create culturally grounded education at scale: A study of systems change in Peru. Educational Action Research, 1–20. https://doi.org/10.1080/09650792.2025.2471838
López-Zapata, E., & Ramírez-Gómez, A. D. J. (2023). Intellectual capital, organizational culture and ambidexterity in Colombian firms. Journal of Intellectual Capital, 24(2), 375–398. https://doi.org/10.1108/jic-08-2020-0286
Lysenko, A., & Gunitsky, S. (2025). The invisible front: Ukraine’s IT army and the evolution of cyber resistance. Post-Soviet Affairs, 1–26. https://doi.org/10.1080/1060586X.2025.2503658
Manago, A. M., & Pacheco, P. (2019). Globalization and the transition to adulthood in a Maya community in Mexico: Communication technologies, social networks, and views on gender. New Directions for Child and Adolescent Development, 2019(164), 11–25. https://doi.org/10.1002/cad.20273
Marshalok, M., Melnyk, A., Vasiuta, V., Yatsenko, V., & Saienko, V. (2021). Competitive advantages of small business. AD ALTA: Journal of Interdisciplinary Research, Special Issue 11/02-XXII, 60–65. https://www.magnanimitas.cz/ADALTA/110222/papers/A_10.pdf
Maslow, A. H. (1943). A theory of human motivation. Psychological Review, 50(4), 370–396. https://doi.org/10.1037/h0054346
Mendivil-Aguayo, P., Rivera, M., Armendariz, D., Perez Rodriguez, D., Vasquez, C., Regino, L., … Sandoval, V. (2024). Zoom & WhatsApp digital information and communication technologies (ICTs) enhance community engaged research with women immigrants from Mexico. Journal of Community Practice, 32(2), 212–237. https://doi.org/10.1080/10705422.2024.2351935
Munger, K., Villegas-Cruz, A., Gallego, J., & Vásquez-Cortés, M. (2024). “Reenviado Muchas Veces”: How platform warnings affect WhatsApp users in Mexico and Colombia. Political Communication, 41(5), 719–742. https://doi.org/10.1080/10584609.2024.2326130
OECD. (2023). Mis- and disinformation. Retrieved from https://www.oecd.org/en/topics/disinformation-and-misinformation.html
Oleinik, A. (2024). Telegram channels covering Russia’s invasion of Ukraine: A comparative analysis of large multilingual corpora. Journal of Computational Social Science, 7(1), 361–384. https://doi.org/10.1007/s42001-023-00240-9
Padilla-Meléndez, A., Ciruela-Lorenzo, A. M., Del-Aguila-Obra, A. R., & Plaza-Angulo, J. J. (2022). Understanding the entrepreneurial resilience of indigenous women entrepreneurs as a dynamic process: The case of Quechuas in Bolivia. Entrepreneurship & Regional Development, 34(9–10), 852–867. https://doi.org/10.1080/08985626.2022.2103744
Paredes, L. H. L., & Vigiola, G. Q. (2024). Microspheres of self-governance: Platform communities in times of need in Bogotá, Colombia. Cities, 153, 105311. https://doi.org/10.1016/j.cities.2024.105311
Peixoto, A. R., de Almeida, A., António, N., Batista, F., Ribeiro, R., & Cardoso, E. (2023). Unlocking the power of Twitter communities for startups. Applied Network Science, 8(1), 66. https://doi.org/10.1007/s41109-023-00593-0
Pickering, C. (2024). Women in agroecology: Inclusion, exclusion, and empowerment in Peru. Agroecology and Sustainable Food Systems, 48(8), 1187–1209. https://doi.org/10.1080/21683565.2024.2356199
Pigola, A., Fischer, B., & Moraes, G. H. S. M. d. (2024). Impacts of digital entrepreneurial ecosystems on sustainable development: Insights from Latin America. Sustainability, 16(18), 7928. https://doi.org/10.3390/su16187928
Portugal, P. H. F., Moreira, J. F., Póvoas, M. d. S., Silva, C. A. F. d., & Guedes, A. L. A. (2021). The favela as a place for the development of smart cities in Brazil: Local needs and new business strategies. Smart Cities, 4(4), 1259–1275. https://doi.org/10.3390/smartcities4040067
Prieto-Egido, I., Sanchez-Chaparro, T., & Urquijo-Reguera, J. (2023). Impacts of information and communication technologies on the SDGs: The case of Mayu Telecomunicaciones in rural areas of Peru. Information Technology for Development, 29(1), 103–127. https://doi.org/10.1080/02681102.2022.2073581
Putnam, R. D. (2000). Bowling alone: The collapse and revival of American community. New York, NY: Simon & Schuster.
Quatrochi, G., da Silva, A. L. G., & Cassiolato, J. E. (2023). Banks 4.0 in Brazil: Possibilities to ensure fintechs financing role through its market positioning. Innovation and Development, 13(3), 561–581. https://doi.org/10.1080/2157930X.2022.2086336
Reis, J. C. G. d. (2025). The quest for social justice amid war: Exploring the role of civil society resilience in Ukraine’s social justice and cohesion. Safer Communities, 24(1), 58–71. https://doi.org/10.1108/sc-07-2024-0039
Ríos Yovera, V. R., Ramos Farroñán, E. V., Arbulú Ballesteros, M. A., Vera Calmet, V. G., Aguilar Armas, H. M., Soto Deza, J. M., … Reyes-Pérez, M. D. (2025). Academic entrepreneurship evolution: A systematic review of university incubators and startup development (2018–2024). Sustainability, 17(12), 5365. https://doi.org/10.3390/su17125365
Shcherban, T., Hoblyk, V., Chernychko, T., Pigosh, V., & Kozyk, I. (2025). Assessment of the digital transformation of Ukraine’s economy: Challenges, opportunities, and strategic prospects. Scientific Bulletin of Mukachevo State University. Series Economics, 12(1), 159–168. https://doi.org/10.52566/msu-econ1.2025.159
Sitnicki, M. W., Horbas, I., Derkach, O., Flowers, A., Wielewska, I., Tucki, K., … Pimenov, S. (2024). Development and support of Ukrainian domestic entrepreneurship in the knowledge economy. Sustainability, 16(13), 5682. https://doi.org/10.3390/su16135682
Soesanto, S. (2023). Ukraine’s IT army. In Survival: June–July 2023 (pp. 93–105). Routledge.
Sokhanvar, A., Çiftçioğlu, S., & Hammoudeh, S. (2024). Comparative analysis of the exchange rates–stock returns nexus in commodity-exporters and -importers before and during the war in Ukraine. Research in International Business and Finance, 67, 102152. https://doi.org/10.1016/j.ribaf.2023.102152
Stroiko, T., Iglesias-Sanchez, P. P., Jambrino-Maldonado, C., Fernández-Díaz, E., & de las Heras-Pedrosa, C. (2024). Ukrainian women’s entrepreneurship and business ecosystem during the war: New challenges for development. Sustainability, 16(9), 3829. https://doi.org/10.3390/su16093829
Vargas, M. I. R., & Arias, A. d. L. (2022). The entrepreneurial ecosystem of Guadalajara, Jalisco, Mexico: Its technology-based and fast-growing startups and entrepreneurial-employees. Journal of Technology Management & Innovation, 17(4), 90–105. https://doi.org/10.4067/s0718-27242022000400090
Zelenin, V. (2023). Coaching in the development of leadership qualities of heads of Ukrainian business organizations in the conditions of war. International Journal of Professional Business Review, 8(5), 18. https://doi.org/10.55908/sdgs.v11i3.817
Zelenin, V. (2025). Psychological aspects of teachers’ self-development and professional self-realization in Ukrainian higher education through coaching. Novitas-ROYAL (Research on Youth and Language), 19(1), 194–214. https://doi.org/10.5281/zenodo.15227951

Este artículo no presenta ningún conflicto de intereses. Este artículo está bajo la licencia Creative Commons Atribución 4.0 Internacional (CC BY 4.0). Se permite la reproducción, distribución y comunicación pública de la obra, así como la creación de obras derivadas, siempre que se cite la fuente original.